Aさんの家族の身長の平均は151.2cm、Bさんの家族の身長の平均は155.4cm、Cさんの家族の身長の平均は152.1cmです。
3家族の人数について次のことが分かっています。
・Aさんの家族の人数は、Bさんの家族の人数の2倍より2人少ない
・Aさんの家族の人数は、Cさんの家族の人数の2倍
・3家族の合計人数は13人
(1) Aさんの家族の人数を求めなさい。
(2) 3家族全員の身長の平均を求めなさい。
※ 解説を見るには、右下の「解説はこちらから」をクリック!
(1)
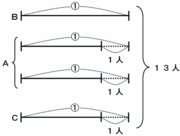
まずは次の図のように、Bさんの家族の人数を①とおいて、3つの家族の人数の関係を線分図に表してみます。
※ 画像はクリックすると拡大します。

【この線分図についての説明】
・Bさんの家族の人数を①とおいてみる。
・Aさんの家族の人数はその2倍よりも2人少ない→②より2人少ない→「①より1人少ない」が2本ある。
・Cさんの家族の人数はAの半分→「①より1人少ない」が1本ある。
線分図のAとCの点線部分をうめるために3人くわえると、3家族の合計人数は13+3=16人になり、それが④(Bさんの家族の人数の4倍)にあたります。
16÷4=4人→Bさんの家族の人数
以上から、Aさんの家族の人数は、4×2-2=6人になります。
※ Cさんの家族の人数は、6÷2=3人です。
(2)
まずは3つの家族それぞれの身長の合計を求めます。
Aさんの家族→151.2×6=907.2cm
Bさんの家族→155.4×4=621.6cm
Cさんの家族→152.1×3=456.3cm
907.2+621.6+456.3=1985.1cm→3家族全員(13人)の身長の合計
したがって、3家族全員の身長の平均は、1985.1÷13=152.7cmです。
PR